Fc2 ppv 3470939 จำกัด 500 integrals หยุดการกู้คืนฟังก์ช
2 years ago
[26 multiple integrals change of variables] 184 jacobian for three variables
5 years ago
[18 multiple integrals approximating double integrals] 119 midpoint rule for double integrals
[13 integrals trigonometric substitution] 111 trigonometric substitution with sine, example 2
[19 multiple integrals double integrals] 124 average value
[05 integrals other approximation methods] 032 over and underestimation
[18 multiple integrals approximating double integrals] 120 riemann sums for double integrals
[13 integrals trigonometric substitution] 109 trigonometric substitution with secant
[13 integrals trigonometric substitution] 113 trigonometric substitution with tangent, example 2
[19 multiple integrals double integrals] 134 changing the order of integration
[13 integrals trigonometric substitution] 112 trigonometric substitution with tangent
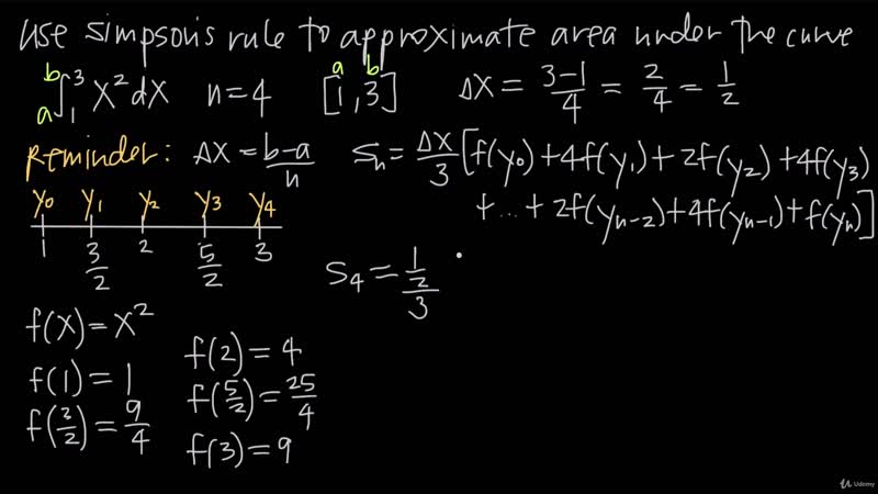
[05 integrals other approximation methods] 038 simpsons rule
[02 integrals antiderivatives and indefinite integrals] 007 properties of integrals
[02 integrals antiderivatives and indefinite integrals] 006 indefinite integrals
[11 integrals trigonometric integrals] 094 tan^m sec^n, even n
[07 integrals fundamental theorem of calculus] 050 part 2
[18 multiple integrals approximating double integrals] 117 approximating double integrals with rectangles
[02 integrals antiderivatives and indefinite integrals] 004 antiderivatives and indefinite integrals
[11 integrals trigonometric integrals] 095 tan^m sec^n, even n, example 2
[07 integrals fundamental theorem of calculus] 048 part 1
This is an adult website
This website contains age-restricted materials including nudity and explicit depictions of sexual activity. By entering, you confirm that you are at least 18 years of age or older.